Miles de beneficiarios de Renta Ciudadana podrían quedar sin pago en los ciclos 4 y 6 por no cumplir con un requisito obligatorio: la vacuna contra la fiebre amarilla. Alcaldías ya están compartiendo listados y fechas límite para ponerse al día, consulta si tu cédula aparece entre las páginas.
Tabla de Contenido
¿Cuál es el Requisito que los Beneficiarios de Renta Ciudadana están Incumpliendo?
Uno de los requisitos que más beneficiarios están pasando por alto es la vacunación contra la fiebre amarilla, una condición de carácter obligatorio para seguir recibiendo los pagos del programa Renta Ciudadana.

Aunque se trata de una medida práctica, gratuita y vital para la salud pública, aún hay hogares que no la han cumplido. Por eso, si apareces en los listados que andan circulando por redes sociales, debes presentarte cuanto antes a un Centro de Salud y luego a la Oficina de Transferencias Monetarias, generalmente ubicada en la alcaldía municipal, con los documentos requeridos, incluyendo el comprobante de vacunación.
En caso de no cumplir con este requisito, los pagos podrían suspenderse en los ciclos 4 y 6, afectando el apoyo económico de los hogares vulnerables.
Para ponerte al día, hay jornadas de vacunación programadas en varios municipios, como el 11 y 18 de junio de 2025. Además, la fecha límite para reportar la vacuna también varía: algunos municipios han fijado el 10 de junio y otros el 13, así que no dejes pasar el tiempo.
- Te puede interesar: ¿Cuándo Vuelve a ser el Segundo Pago de Renta Ciudadana en 2025?
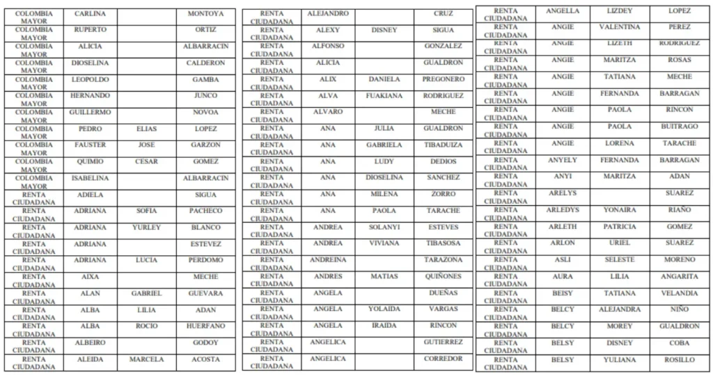
Listado de Beneficiarios de Renta Ciudadana por Vacunación Contra la Fiebre Amarilla
Alcaldía de El Peñón, Bolívar
Se informa a las madres de los niños relacionados en el listado que deben comunicarse con la Coordinadora de Renta Ciudadana, debido a inconsistencias encontradas en sus esquemas de vacunación. Estas observaciones podrían afectar el pago del próximo ciclo, por lo que se recomienda atender el llamado a la mayor brevedad.

Alcaldía Municipal de Pore – Casanare
Las personas relacionadas en este listado son beneficiarias de los programas de transferencias monetarias (Colombia Mayor, Renta Ciudadana y Renta Joven) y presentan pendiente la vacunación contra la fiebre amarilla. Es primordial cumplir con esta corresponsabilidad, ya que el incumplimiento puede generar la suspensión de pagos en los ciclos 4 y 6.


Alcaldía Municipal de Magangué
La Coordinadora Tatiana Vásquez informa que los padres de familia con niños y niñas incluidos en el listado entregado a las madres líderes y juntas de acción comunal deben presentarse a más tardar el martes 10 de junio.

- Te recomiendo leer: ¿Necesitas Traslado o Poder Notarial para Cobrar la Ayuda de Colombia Mayor en Otro Municipio?
¿Cómo Cumplir con el Requisito de Vacunación y Evitar Ser Suspendido?
Si eres beneficiario de Renta Ciudadana, es indispensable que completes el esquema de vacunación exigido por el programa, especialmente contra la fiebre amarilla. Para cumplir con este requisito y no correr el riesgo de caer en suspensiones temporales, sigue estos pasos:
- Acércate al centro de salud más cercano:
Solicita la aplicación de la vacuna contra la fiebre amarilla. No necesitas cita previa, pero sí debes llevar algunos documentos. - Lleva la siguiente documentación:
- Copia del Registro civil del menor
- Fotocopia del Carné de vacunación (ambos lados)
- Documento de identidad del padre o madre
- Dos números de teléfono de contacto
- Conserva el comprobante de vacunación:
Este documento será el soporte o certificado mostrado ante el programa. Guárdalo bien, ya que deberás presentarlo cuando te lo soliciten las autoridades. - Preséntate dentro del plazo indicado:
No dejes pasar la fecha límite. Algunas alcaldías han fijado el 10 de junio y otras el 13, así que válida con tiempo y actúa con prontitud.
Cumplir con este proceso no solo garantiza que sigas recibiendo el apoyo económico, sino que también protege la salud de tu familia y la comunidad. Vacunarte es una muestra de compromiso con quienes te rodean.
¿Por qué deben Vacunarse Contra la Fiebre Amarilla los Beneficiarios de Renta Ciudadana?
La fiebre amarilla es una enfermedad viral hemorrágica aguda que puede prevenirse con una sola dosis de vacuna. Se manifiesta con fiebre alta y una coloración amarilla en la piel y los ojos. La inyección aplica para toda persona mayor de 9 meses, incluyendo adultos mayores de 60 años, y no tiene límite de edad.
Una vez sea efectiva aplicación, empieza a hacer efecto a los 10 días y ofrece una protección del 99% en los primeros 30 días. Por eso, es indispensable que niños y niñas menores de 6 años tengan su esquema de vacunación completo. Además de ser segura y rápida, la vacuna es gratuita y está disponible en todos los centros de salud del país.
Si eres beneficiario del programa Renta Ciudadana – Valoración del Cuidado, estar vacunado contra la fiebre amarilla es un requisito obligatorio, ya que hace parte de los criterios de verificación para continuar recibiendo las transferencias de $500.000 pesos colombianos.
Para confirmar si ya te aplicaron la dosis, puedes acercarte a cualquier punto de vacunación donde consultarán tu información en el sistema PAIWEB, que registra tu historial de vacunas. También puedes ingresar a la plataforma Mi Vacuna – Fiebre Amarilla y revisar tu estado de inmunización o antecedente de vacunación en línea.



sígueme aquí en el canal de whatsapp
síguenos en DISCOVER